一、总 则
(一)定义、目的及范围
绿色供应链是将环境保护和资源节约的理念贯穿于企业从产品设计到原材料采购、生产、运输、储存、销售、使用和报废处理的全过程,使企业的经济活动与环境保护相协调的上下游供应关系。
推行绿色供应链管理的目的是发挥供应链上核心企业的主体作用,一方面做好自身的节能减排和环境保护工作,不断扩大对社会的有效供给,另一方面引领带动供应链上下游企业持续提高资源能源利用效率,改善环境绩效,实现绿色发展。
绿色供应链管理范围:按照产品生命周期要求,对设计、采购、生产、物流、回收等业务流程进行管理,其中涉及供应商、制造企业、物流商、销售商、最终用户以及回收、拆解等企业的协作。
(二)基本要求
- 具有独立法人资格;
- 具有较强的行业影响力;
- 具有较完善的能源资源、环境管理体系,各项管理制度健全,符合国家和地方的法律法规及标准规范要求,近三年无重大安全和环境污染事故;
- 拥有数量众多的供应商,在供应商中有很强的影响力,与上下游供应商建立良好的合作关系;
- 有完善的供应商管理体系,建立健全的供应商认证、选择、审核、绩效管理和退出机制;
- 有健全的财务管理制度,销售盈利能力处于行业领先水平;
- 对实施绿色供应链管理有明确的工作目标、思路、计划和措施。
二、企业绿色供应链管理关键环节
(一)确立可持续的绿色供应链管理战略
企业应将绿色供应链管理理念纳入发展战略规划,明确绿色供应链管理目标,设置管理部门,推进本企业绿色供应链管理工作。要用整体系统的观点将绿色供应链融入产品研发、设计、采购、制造、回收处理等业务流程,识别能源资源、环境风险和机遇,带动上下游企业深度协作,发挥绿色供应链管理优势,不断降低环境风险、提高能源资源利用效率,扩大绿色产品市场份额。
(二)实施绿色供应商管理
企业要树立绿色采购理念,不断改进和完善采购标准、制度,将绿色采购贯穿原材料、产品和服务采购的全过程。要从物料环保、污染预防、节能减排等方面对供应商进行绿色伙伴认证、选择和管理,推动供应商持续提高绿色发展水平,共同构建绿色供应链。要早期介入、主动参与供应商的研发制造过程,引导供应商减少各种原辅材料和包装材料用量、用更环保的材料替代,避免或减少环境污染。定期对供应商进行培训和技术支持,传递客户和其他利益相关者的环境要求,帮助供应商将要求融入业务之中并逐级传递。
(三)强化绿色生产
企业要建立基于产品全生命周期的绿色设计理念,整合环境数据资源,建立基础过程和产品数据库,构建评价模型,在研发设计阶段开展全生命周期(LCA)评价。不断提升绿色技术创新能力,采用先进适用的工艺技术与设备,减少或者避免生产过程中污染物的产生和排放。积极参与国际相关技术规范标准的制定,促进业界绿色生产水平提升,引领行业变革。
(四)建设绿色回收体系
企业要建立生产者责任延伸制度,主动承担产品废弃后的回收和资源化利用责任。采用产品回收电子标签、物联网、大数据和云计算等技术手段建立可核查、可溯源的绿色回收体系。生产企业可直接主导或与专业从事废旧产品回收利用的企业或机构合作开展回收、处理与再利用,搭建拆解、回收信息发布平台,实现废旧产品在生产企业、消费者、回收企业、拆解企业间的有效流通。
(五)搭建绿色信息收集监测披露平台
企业要建立能源消耗在线监测体系和减排监测数据库,定期发布企业社会责任报告,披露企业节能减排目标完成情况、污染物排放、违规情况等信息。要建立绿色供应链信息平台,收集绿色设计、绿色采购、绿色生产、绿色回收等过程的数据,建立供应链上下游企业之间的信息交流机制,实现生产企业、供应商、回收商以及政府部门、消费者之间的信息共享。要加强对供应链上下游重点供应商的管理评级,定期向社会披露重点供应商的环境信息,公布企业绿色采购的实施成效。
三、企业绿色供应链管理评价方法
(一)评价方式
- 企业绿色供应链管理评价由第三方组织实施。
- 第三方根据根据绿色供应链管理关键环节,按照评价标准对企业进行实地调查,查阅相关文件、报表、数据等,确保评价结果客观准确。
(二)评价指标体系
绿色供应链管理评价指标体系包括绿色供应链管理战略指标、绿色供应商管理指标、绿色生产指标、绿色回收指标、绿色信息平台建设指标、绿色信息披露指标6个方面。
具体如表1所示。
表1 企业绿色供应链管理评价指标体系

表1 企业绿色供应链管理评价指标体系
(三)绿色供应链评价指数计算方法
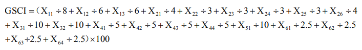
企业绿色供应链管理指数的计算公式如下。

式中 GSCI 为绿色供应链管理指数。
(四)绿色供应链评价结果
经评价绿色供应链管理指数大于80分(含等于)的企业,认定为“卓越绿色供应链管理企业”,优先享受国家各项支持政策。
(五)部分指标说明
- 纳入公司发展规划:有明确的绿色供应链管理中长期发展规划、年度目标、指标、实施方案等文件。
- 供应商绩效评估制度:建立供应商绩效评估标准,对供应商进行分级评价和管理。
- 低风险供应商占比的基准值取80%。达到或超过80%得4分,其他分值的计算:比例值/80%*4。
- 节能减排环保合规:符合国家和地方有关环境法律和法规,近五年无重大安全、环保、质量事故;配备能源、水源监测设备及污染物监测设备(计量仪器符合GB/T 17167和 GB 24789)。
- 产品回收率X41的基准值为 90%,达到或超过 90%得5分,其他分值的计算:比例值/90%*5。
- 包装回收率X42的基准值为 80%,达到或超过 80%得5 分,其他分值的计算:比例值/80%*5。
- 指导下游企业回收拆解:具备回收拆解信息管理系统,实现拆解信息的传递及产品的追溯。
- 绿色供应链管理信息平台完善:对企业及其供应商产品材质、工艺流程、能源资源消耗、污染物排放等信息进行有效收集与管理。
- 披露企业节能减排减碳信息:具体包括有毒有害物质使用、能源资源利用效率、污染物排放、碳排放减少量、产品回收利用率等信息
附件:绿色供应链管理评价要求


