应急〔2023〕123号
各省、自治区、直辖市应急管理厅(局),新疆生产建设兵团应急管理局:
为有效防控化工园区重大安全风险,推动化工园区实现集中布局、集群发展、降低安全风险,应急管理部部务会议审议通过了《化工园区安全风险排查治理导则》,现印发给你们,请结合实际认真贯彻落实。应急管理部2019年印发的《化工园区安全风险排查治理导则(试行)》同时废止。
应急管理部
2023年11月14日
化工园区安全风险排查治理导则
1 总 则
1.1 目 的
为全面排查化工园区安全风险,规范化工园区建设和安全管理,系统提升化工园区本质安全水平,增强化工园区安全应急保障能力,推动化工园区集中布局、集群发展、降低安全风险,防范危险化学品重特大生产安全事故,依据《中华人民共和国安全生产法》《危险化学品安全管理条例》《化工园区建设标准和认定管理办法(试行)》《关于进一步加强化工园区安全管理的指导意见》等有关法律法规和标准规范,制定本导则。
1.2 适用范围
本导则适用于化工园区的安全风险排查治理。
1.3 基本原则
1.3.1 科学规划,合理布局。
统筹发展和安全,坚持产业集聚、布局集中、用地集约原则,规范化工园区选址,完善化工园区规划体系,明确“四至”范围和周边土地规划安全控制线,严格规划区域功能,优化安全布局,提升应急保障能力。
1.3.2 严格准入,规范管理。
强化源头管控,严禁列入淘汰落后危险化学品安全生产工艺技术装备目录的、不成熟工艺的、不符合安全生产标准规范的危险化学品建设项目进园入区。新建危险化学品生产建设项目采用国内首次使用化工工艺的,应经过省级人民政府有关部门组织的安全可靠性论证,严密防控化工产业转移安全风险。加强安全生产监管力量建设,规范制度和机制建设,强化安全生产与应急一体化管理。
1.3.3 系统排查,重点整治。
坚持安全第一、预防为主、综合治理,化工园区每年开展一次安全风险等级自评,省级层面按照每年不低于30%的比例抽查复核安全风险等级,每三年完成一轮全覆盖省级复核,根据自评和复核结果,针对性完善并落实“一园一策”整治提升方案,加大安全投入,加强配套功能设施建设,有效防范多米诺效应,不断提升本质安全水平,持续降低化工园区安全风险。
2 认 定
化工园区应经省级人民政府或其授权机构认定公布,认定手续齐全、资料完备,并通过相关部门审查。
3 选址及规划
3.1 化工园区应符合国家、区域、省和设区的市产业布局规划要求,位于地方人民政府规划的专门用于危险化学品生产、储存的区域,符合所在设区的市国土空间规划,“四至”范围明确。“四至”范围发生变动的,应及时修订相关规划。
3.2 化工园区应整体规划、集中布局,选址具有良好地质、地形、水文、气象等自然条件。化工园区内不应有居民居住。
3.3 化工园区应编制化工园区总体规划和产业规划,总体规划应包含安全生产和综合防灾减灾规划章节或独立编制专项规划。
3.4 化工园区应充分考虑选址安全,与城市建成区、人口密集区、重要设施等防护目标之间保持足够的安全防护距离,安全风险控制在可以接受的范围内。
3.5 化工园区应至少每三年开展一次化工园区整体性安全风险评估,提出消除、降低、管控安全风险的对策措施并有效实施。化工园区“四至”范围发生变化、或重大危险源数量发生较大变化可能导致化工园区整体安全风险显著提高、或安全风险评估等级升高要求按照高(A级)或较高(B级)安全风险等级管理、或发生较大及以上或造成重大社会影响化工生产安全事故的,应重新开展整体性安全风险评估。
3.6 化工园区应依据化工园区整体性安全风险评估结果和相关法规标准要求,划定化工园区周边土地规划安全控制线,并报送化工园区所在地和涉及的设区的市级和县级地方人民政府规划主管部门、应急管理部门。
3.7 化工园区所在地设区的市级和县级地方人民政府规划主管部门应严格控制化工园区周边土地开发利用,周边土地规划安全控制线范围内的开发建设项目应经过安全风险评估,满足安全风险控制要求。
4 园区内布局
4.1 化工园区应综合考虑主导风向、地势高低落差、企业装置之间的相互影响、产品类别、生产工艺、物料互供、公用设施保障、应急救援等因素,合理布置功能分区。劳动力密集型的非化工企业不得与化工企业混建在同一化工园区内。
4.2 化工园区行政办公、生活服务区等人员集中场所应与生产功能区相互分离,布置在化工园区边缘或化工园区外;消防站、应急响应中心、医疗救护站等重要设施的布置应满足应急救援的快速响应需要,并考虑涉及爆炸物、毒性气体、液态易燃气体的装置或设施的影响,满足国家标准规范要求,保持足够的安全距离。
4.3 化工园区应评估化工园区布局的安全性和合理性,对多米诺效应进行分析,采取安全风险防范措施,降低区域安全风险,避免多米诺效应。
4.4 化工园区内危险化学品建设项目和危险化学品企业安全评价报告应对项目(企业)与周边企业的相互影响进行多米诺效应分析,优化平面布局。
5 准入和退出
5.1 化工园区应严格根据化工园区总体规划和产业规划,制定并落实适应区域特点、地方实际的“禁限控”目录和项目安全准入条件,及时动态更新。
5.2 化工园区的项目准入应有利于形成相对完整的“上中下游”产业链和主导产业,实现化工园区内资源的有效配置和充分利用,安全风险可控。
5.3 化工园区内危险化学品建设项目应由具备《危险化学品建设项目安全监督管理办法》(国家安全生产监督管理总局令第45号)、《关于进一步加强危险化学品建设项目安全设计管理的通知》(安监总管三〔2013〕76号)、《危险化学品生产建设项目安全风险防控指南(试行)》(应急〔2022〕52号)资质要求的设计单位进行设计。
危险化学品生产企业主要负责人和主管生产、设备、技术、安全的负责人以及安全生产管理人员、一线岗位从业人员学历资质应满足有关要求,企业特种作业人员应持证上岗。
5.4 化工园区应建立健全并落实建设项目和企业安全准入与退出机制,化工园区和企业应建立健全承包商安全准入与退出制度、黑名单制度并有效执行。
5.5 化工园区内企业存在重大事故隐患的,应立即整改或限期整改,整改后不具备安全生产条件的企业,应依法予以关闭。
6 配套功能设施
6.1 化工园区供水水源应充足、可靠,建设统一集中的供水设施和管网,满足企业和化工园区配套设施生产、生活、消防用水的需求。化工园区附近有天然水源的,应设置供消防车取水的消防车道和取水码头。
6.2 化工园区应保障双电源供电,满足化工园区企业和化工园区配套设施生产、生活及应急用电需求,电源可靠。
6.3 化工园区应根据需求建设符合《化工园区公共管廊管理规程》(GB/T 36762)要求的公共管廊,建立健全公共管廊和企业间管道巡检管理、维护保养、安全管理等制度并有效执行。
6.4 化工园区应运用物联网等先进技术对危险化学品运输车辆进出园区进行实时监控,实行限时、限速行驶、专用道路或专用车道等措施,由化工园区实施统一管理、科学调度,防止安全风险积聚。有危险化学品车辆聚集较大安全风险的化工园区应建设符合有关要求的危险化学品车辆专用停车场并严格管理。
6.5 化工园区应按照“分类控制、分级管理、分步实施”要求,结合产业结构、产业链特点、安全风险类型等实际情况,分区实行封闭化管理,建立完善门禁系统和视频监控系统,利用信息化平台、视频监控、在线监测预警等技术手段,实现人员、车辆及物料进出全过程动态监管。对涉及爆炸物、毒性气体、液态易燃气体、一级重大危险源的核心控制区采用远程探测在线监测预警。
6.6 化工园区应按照有关法律法规和国家标准规范要求,督促企业对产生的固体废物特别是危险废物及时进行安全处置。
6.7 化工园区应按照有关法律法规和国家标准规范要求,对事故应急状况下产生的废水收集进行需求分析和估算,确保在化工生产安全事故发生时能够满足事故废水处置要求。
6.8 化工园区应通过自建、共建或委托服务的方式,建设满足《化工安全技能实训基地建设指南(试行)》等要求的化工安全技能实训基地。
7 安全生产与应急一体化管理
7.1 负责化工园区管理的地方人民政府应明确承担化工园区安全生产和应急管理职责的机构。
7.2 化工园区管理机构应配备具有化工专业背景的负责人,建立化工园区管理机构领导带班制度,根据化工园区规模、化工(危险化学品)企业数量、产业特点、整体安全风险状况等因素,配齐配强专业安全监管人员,明确安全监管人员职责,合理调配力量,确保专业监管。
化工园区专业安全监管人员原则上不少于6人;化工(危险化学品)企业超过20家的,专业安全监管人员原则上不少于10人;化工(危险化学品)企业超过40家的,专业安全监管人员原则上不少于15人。
专业安全监管人员应具有化工等相关专业本科及以上学历,或相关行业领域中级及以上专业技术职称、二级(技师)及以上职业资格,或注册安全工程师、安全评价师等资格,或在化工企业一线从事生产或安全管理10年及以上。
7.3 化工园区应实施安全生产与应急一体化管理,明确化工园区负责人、安全生产管理机构及相关部门的安全管理职责,建立健全化工园区各项安全管理制度并严格落实。
7.4 化工园区应按照有关法律法规和国家标准规范要求,制定化工园区安全隐患排查治理制度,制定年度安全检查计划,确定安全检查重点,对化工园区内涉及“两重点一重大”的企业进行全覆盖安全检查。
7.5 化工园区应建立健全行业监管、协同执法和应急救援的联动机制,协调解决化工园区内企业之间的安全生产重大问题,统筹指挥化工园区的应急救援工作,指导企业落实安全生产主体责任,全面加强安全生产和应急管理工作。
7.6 化工园区应按照国家有关要求,制定安全风险分级管控制度,定期对化工园区内企业进行安全风险分级,加强对红色、橙色安全风险的分析、评估、预警与管控。督促化工园区内危险化学品重大危险源企业按要求开展双重预防机制数字化建设与应用,确保优良运行,提高安全隐患排查治理效能。
7.7 化工园区应开展化工园区安全生产信息化智能化平台建设,结合化工园区实际,建设符合《化工园区安全风险智能化管控平台建设指南(试行)》(应急厅〔2022〕5 号)要求的化工园区安全风险智能化管控平台并有效运行。
7.8 化工园区应制定总体应急预案及专项预案,至少每两年组织一次生产安全事故应急演练。
7.9 化工园区应编制化工园区消防规划或在化工园区总体规划中设置消防专篇,按照有关法律法规和《关于进一步加强国有大型危化企业专职消防队伍建设的意见》《危化企业消防站建设标准》等要求,结合园区实际,布点及建设消防站,消防车种类、数量、结构以及车载灭火药剂数量、装备器材、防护装具等应满足生产安全事故处置需要。化工园区应建设危险化学品专业应急救援队伍,根据自身安全风险类型,配套建设医疗急救场所和气防站。
7.10 化工园区应建立健全化工园区内企业及公共应急物资储备保障制度,统筹规划配备充足的应急物资装备。
7.11 化工园区应加强对台风、雷电、洪水、泥石流、滑坡等自然灾害的监测和预警,落实有关灾害的防范措施,防范因自然灾害引发危险化学品次生灾害。
8 特殊条款
8.1 按照本导则《化工园区安全风险排查治理检查表》(见附件)对化工园区进行评分,60分以下(不含60分)为高安全风险等级(A级),60-70分(不含70分)为较高安全风险等级(B级),70-85分(不含85分)为一般安全风险等级(C级),85分及以上为较低安全风险等级(D级)。
8.2 化工园区存在以下情况,直接判定为高安全风险等级(A级):
(1)化工园区规划不符合所在设区的市国土空间规划或未明确“四至”范围;
(2)化工园区未明确承担安全生产管理职责的机构或配备的专业安全监管人员不满足要求;
(3)化工园区与高敏感防护目标、重要防护目标和居民区之间的外部安全防护距离不符合标准要求;
(4)化工园区内部布局不合理,企业之间存在重大安全风险叠加失控;
(5)化工园区内存在在役化工装置未经具有相应资质的单位设计且未通过安全设计诊断的企业;
(6)化工园区内存在涉及危险化工工艺的特种作业人员学历资质不满足要求的企业;
(7)化工园区不能保障双电源供电,或化工园区内有一级负荷时,双电源的每一路电源的变压器总容量不能都满足所有负荷用电需求;
(8)化工园区内企业发生较大及以上化工生产安全事故。
8.3 落实动态调整机制,对高(A 级)或较高(B 级)安全风险等级的化工园区,限期整改,整改期间停止新、改、扩建危险化学品生产建设项目(安全、环保、节能和智能化改造项目除外),整改完成后由省级相关部门完成安全风险等级复核,仍达不到一般或较低安全风险等级的,报告省级政府并提出处理意见。
因发生较大及以上化工生产安全事故被判定为高安全风险等级(A级)的,应在事故发生至少3个月且事故已结案并向社会公布后,方可提请安全风险等级省级复核。
8.4 本导则自发布之日起实施,有效期5年。
附 录
定义和术语
下列定义和术语适用于本导则。
1 化工园区
本导则所称化工园区,是指由人民政府批准设立,经省级人民政府或其授权机构认定公布,以发展化工产业为导向、地理边界和管理主体明确、基础设施和管理体系完整的工业区域。其他化工园区可参照本导则执行。
2 防护目标
受化工园区危险化学品生产安全事故影响,化工园区外可能发生人员伤亡、财产损失的设施或场所。居民区、高敏感防护目标和重要防护目标参照《危险化学品生产装置和储存设施风险基准》(GB 36894)进行分类。
3 多米诺效应分析
为避免化工园区内一个企业的危险源发生生产安全事故引起其他企业的危险源相继发生生产安全事故,造成企业内安全风险外溢,事故影响扩大升级,多米诺效应分析应计算分析危险源火灾、爆炸影响范围,确定多米诺效应影响半径,给出可能受多米诺效应影响的危险源清单,提出消除、降低、管控安全风险的措施建议,并在工程设计阶段有效落实。如重大变更引起多米诺效应发生变化,应重新进行分析并提出消除、降低、管控安全风险的措施。
4 周边土地规划安全控制线
为预防和减缓化工园区危险化学品潜在生产安全事故(爆炸、中毒、火灾等)对化工园区外部防护目标的影响,用于限制化工园区周边土地开发利用的控制线。
5 “四至”范围
与所在设区的市国土空间规划相对应的清晰的化工园区开发边界范围,并通过文字表述、边界拐点坐标和化工园区边界形状图予以明确。
6 安全防护距离
为预防和减缓危险化学品生产装置和储存设施潜在事故(爆炸、中毒、火灾等)对厂外防护目标的影响,在装置与防护目标之间设置的距离或风险控制线。
7 双电源
双电源应符合《供配电系统设计规范》(GB 50052)要求,一个负荷的电源是由两个电路提供的,这两个电路就安全供电而言被认为是互相独立的。以下三种情况可视为满足双电源条件:
- 一是从外部不同110kV或220kV的变电站接出两路用电电源;
- 二是外部只有一个110kV或220kV的变电站,从一个变电站接出两条不同母线的电源线;
- 三是化工园区内有供电热电联产,其电源可以作为一路电源,化工园区从外部110kV或220kV变电站接一路电源。化工园区内有一级负荷时,双电源的每一路电源的变压器总容量都要满足所有负荷用电需求。
附 件
化工园区安全风险排查治理检查表
序号 |
要素 |
评估内容 |
评分细则 |
| 1 | 认定(5分) | (1)化工园区应经省级人民政府或其授权机构认定公布,认定手续齐全、资料完备,并通过相关部门审查。 | 0分-化工园区认定手续不完备;
5分-化工园区认定手续齐全、资料完备,并通过相关部门审查。 |
|
2 |
选址及规划(43分) |
(2)化工园区应符合国家、区域、省和设区的市产业布局规划要求,位于地方人民政府规划的专门用于危险化学品生产、储存的区域,符合所在设区的市国土空间规划,“四至 ”范围明确。“四至 ”范围发生变动的,应及时修订相关规划。 | 0分-化工园区不符合国家、区域、省和设区的市产业布局规划要求,或未位于符合所在设区的市国土空间规划的专门用于危险化学品生产、储存的区域,或 “四至 ”范围不明确;
1分-化工园区 “四至 ”范围划定不合理,或 “四至 ”范围变动后,未及时修订相关规划; 5分-符合要求。 |
| (3)化工园区应整体规划、集中布局,选址具有良好地质、地形、水文、气象等自然条件。化工园区内不应有居民居住。 | 0分-化工园区内有居民居住,且无搬迁方案和保障措施,或未按照搬迁方案实施;
0分-化工园区选址于地震断层、地质灾害高易发区、采矿陷落区、蓄滞洪区、全年静风频率超过 60%等禁止选址区域; 3分-化工园区位于地形条件复杂、自然坡度大、存在窝风地带等安全条件不利的复杂区域; 3分-化工园区内有居民居住,已制定搬迁方案和保障措施,且按照方案时间进度执行; 7分-化工园区未整体规划、集中布局,存在多个片区; 10分-符合要求。 |
||
| (4)化工园区应编制化工园区总体规划和产业规划,总体规划应包含安全生产和综合防灾减灾规划章节或独立编制专项规划。 | 0分-未编制化工园区总体规划和产业规划;
0分-编制的化工园区总体规划无安全生产和综合防灾减灾规划章节且无专项规划; 5分-符合要求。 |
||
| (5)化工园区应充分考虑选址安全,与城市建成区、人口密集区、重要设施等防护目标之间保持足够的安全防护距离,安全风险可以接受。 | 0分-新建化工园区未进行选址安全评估,或已建化工园区在整体性安全风险评估报告中缺少相关评估内容;
0分-化工园区与城市建成区、人口密集区、重要设施等防护目标之间的安全防护距离不满足《建筑防火通用规范》( GB 55037)、《石油化工企业设计防火标准》( GB 50160)、《建筑设计防火规范》( GB 50016)等国家法律法规、标准规范要求,个人风险和社会风险不符合《危险化学品生产装置和储存设施风险基准》( GB 36894)、《危险化学品生产装置和储存设施外部安全距离确定方法》(GB/T 37243)要求; 5分-符合要求。 |
||
| (6)化工园区应至少每三年开展一次化工园区整体性安全风险评估,提出消除、降低、管控安全风险的对策措施并有效实施。化工园区 “四至 ”范围变化、或重大危险源数量产生较大变化可能导致化工园区整体安全风险显著提高、或安全风险等级升高要求按照高( A级)或较高( B级)风险等级管理、或发生较大及以上或造成重大社会影响化工生产安全事故的,应重新开展整体性安全风险评估。 | 0分-三年内未编制化工园区整体性安全风险评估报告,或未按要求及时重新开展整体性安全风险评估;
1分-整体性安全风险评估报告评估范围小于化工园区认定的 “四至 ”范围; 1分-未依据《危险化学品生产装置和储存设施风险基准》( GB 36894)、《危险化学品生产装置和储存设施外部安全距离确定方法》(GB/T 37243)等进行定量风险评价; 1分-未对涉及重大危险源的重要危险设备进行计算; 1分-未对化工园区选址布局、外部安全防护距离的符合性进行评估; 3分-未对报告编制时的在建、立项拟建项目进行计算; 3分-提出的消除、降低、管控安全风险的对策措施缺乏针对性、有效性; 5分-未有效落实消除、降低、管控安全风险的对策措施; 8分-符合要求。 |
||
| (7)化工园区应依据化工园区整体性安全风险评估结果和有关法律法规和国家标准规范要求,划定化工园区周边土地规划安全控制线,并报送化工园区所在地和涉及的设区的市级和县级地方人民政府规划主管部门、应急管理部门。 | 0分-化工园区未划定周边土地规划安全控制线,或划定的周边土地规划安全控制线明显不符合要求;
1分-化工园区未将划定的周边土地规划安全控制线的资料按程序报送; 5分-符合要求。 |
||
| (8)化工园区所在地设区的市级和县级地方人民政府规划主管部门应严格控制化工园区周边土地开发利用,周边土地规划安全控制线范围内的开发建设项目应经过安全风险评估,满足安全风险控制要求。 | 0分-周边土地规划安全控制线内的开发建设项目未经过安全风险评估;
0分-周边土地规划安全控制线内已开发的建设项目在满足安全间距、安全风险、规划控制要求等方面与实际情况严重不符; 5分-符合要求。 |
||
|
3 |
园区内布局(16分) |
(9)化工园区应综合考虑主导风向、地势高低落差、企业装置之间的相互影响、产品类别、生产工艺、物料互供、公用设施保障、应急救援等因素,合理布置功能分区。劳动力密集型的非化工企业不得与化工企业混建在同一化工园区内。 | 0分-劳动力密集型的非化工企业与化工企业混建在同一化工园区内;
1分-化工园区功能分区不合理; 1分-化工园区内构成重大危险源的毒性气体、液态易燃气体生产、储存企业或设施未布局在最小频率风向的上风侧; 1分-化工园区呈阶梯布局,存在构成重大危险源的易燃液体储存设施布局在化工园区地势较高且容易形成大面积流淌火的位置; 5分-符合要求。 |
| (10)化工园区行政办公、生活服务区等人员集中场所应与生产功能区相互分离,布置在化工园区边缘或化工园区外;消防站、应急响应中心、医疗救护站等重要设施的布置应满足应急救援的快速响应需要,并考虑涉及爆炸物、毒性气体、液态易燃气体的装置或设施的影响,满足国家标准规范要求,保持足够的安全距离。 | 0分-行政办公、生活服务区等人员集中场所与生产功能区未相互分离或未布置在化工园区边缘或化工园区外;
0分-消防站、应急响应中心、医疗救护站等重要设施的布置不满足应急救援快速响应需要; 0分-行政办公、生活服务区、应急响应中心、医疗救护站、消防站等与化工园区内企业的防火间距不满足要求; 1分-消防站、应急响应中心、医疗救护站等重要设施在涉及爆炸物、毒性气体、液态易燃气体装置或设施的影响范围内,未采取有效防护措施; 3分-消防站、应急响应中心、医疗救护站等重要设施在涉及爆炸物、毒性气体、液态易燃气体装置或设施的影响范围内,但采取了有效防护措施; 5分-符合要求。 |
||
| (11)化工园区应评估化工园区布局的安全性和合理性,对多米诺效应进行分析,采取安全风险防范措施,降低区域安全风险,避免多米诺效应。 | 0分-化工园区整体性安全风险评估报告中未进行化工园区布局安全性和合理性分析,未进行多米诺效应分析;
1分-化工园区整体性安全风险评估报告未对化工园区布局的安全性和合理性提出意见,或未提出安全风险防范措施并有效实施; 3分-符合要求。 |
||
| (12)化工园区内危险化学品建设项目和危险化学品企业安全评价报告应对项目(企业)与周边企业的相互影响进行多米诺效应分析,优化平面布局。 | 0分-化工园区内危险化学品建设项目和危险化学品企业安全评价报告未进行多米诺效应分析;
1分-化工园区内危险化学品建设项目和危险化学品企业安全评价报告未对优化平面布局提出建议措施并有效实施; 3分-符合要求。 |
||
|
4 |
准入和退出(19分) |
(13)化工园区应严格根据化工园区总体规划和产业规划,制定并落实适应区域特点、地方实际的 “禁限控 ”目录和项目安全准入条件,及时动态更新。 | 0分-未制定 “禁限控 ”目录和项目安全准入条件;
1分-制定的 “禁限控 ”目录和项目安全准入条件与国家、省产业结构调整严重不符,存在国家明令禁止、淘汰的建设项目,或与化工园区产业规划严重不符,或制定的项目安全准入条件不符合编制要求; 3分-符合要求。 |
| (14)化工园区的项目准入应有利于形成相对完整的 “上中下游 ”产业链和主导产业,实现化工园区内资源的有效配置和充分利用,安全风险可控。 | 0分-近五年化工园区的准入项目与化工园区 “上中下游 ”产业链和主导产业无关,化工园区仍未形成产业链和主导产业;
1分-化工园区初步形成主导产业,但近五年化工园区的准入项目不利于化工园区的安全风险控制; 3分-符合要求。 |
||
| (15)化工园区内危险化学品建设项目应由具备《危险化学品建设项目安全监督管理办法》(国家安全生产监督管理总局令第 45号)、《关于进一步加强危险化学品建设项目安全设计管理的通知》(安监总管三〔2013〕76号)、《危险化学品生产建设项目安全风险防控指南(试行)》(应急〔2022〕52号)资质要求的设计单位进行设计。危险化学品生产企业主要负责人和主管生产、设备、技术、安全的负责人以及安全生产管理人员、一线岗位从业人员学历资质应满足有关要求,企业特种作业人员应持证上岗。 | 0分-存在任何一项不满足要求;
5分-全部符合要求。 |
||
| (16)化工园区应建立健全并落实建设项目和企业安全准入与退出机制,化工园区和企业应建立健全承包商安全准入与退出制度、黑名单制度并有效执行。 | 0分-化工园区未建立建设项目和企业安全准入与退出机制;
0分-化工园区和企业未建立承包商安全准入与退出制度、黑名单制度; 1分-化工园区未有效执行建设项目和企业安全准入与退出机制; 1分-化工园区和企业未有效执行承包商安全准入与退出制度、黑名单制度; 5分-符合要求。 |
||
| (17)化工园区内企业存在重大事故隐患的,应立即整改或限期整改,整改后不具备安全生产条件的企业,应依法予以关闭。 | 0分-现场核查发现化工园区内企业存在重大事故隐患;
0分-化工园区内存在重大事故隐患未按时完成整改的企业; 0分-化工园区内存在不具备安全生产条件但未依法予以关闭的企业; 3分-符合要求。 |
||
|
5 |
配套功能设施(40分) |
(18)化工园区供水水源应充足、可靠,建设统一集中的供水设施和管网,满足企业和化工园区配套设施生产、生活、消防用水的需求。化工园区附近有天然水源的,应设置供消防车取水的消防车道和取水码头。 | 0分-化工园区没有可靠的供水水源;
0分-化工园区供水能力不足,不能满足企业和化工园区配套设施生产、生活、消防用水的需求; 1分-化工园区未建设统一集中的供水设施,或未采用环状管网供水或双管路供水; 3分-化工园区附近有天然水源,但未设置供消防车取水的消防车道和取水码头; 5分-符合要求。 |
| (19)化工园区应保障双电源供电,满足企业和化工园区配套设施生产、生活和应急用电需求,电源可靠。 | 0分-化工园区及周边供电设施无法保障化工园区企业双电源供电需求;
0分-化工园区及周边供电设施供电能力不足,无法保障生产、生活和应急安全供电需求; 5分-符合要求。 |
||
| (20)化工园区应根据需求建设符合《化工园区公共管廊管理规程》( GB/T 36762)要求的公共管廊,建立健全公共管廊和企业间管道巡检管理、维护保养、安全管理等制度并有效执行。 | 0分-化工园区有建设需求但未建设公共管廊;
0分-化工园区内有大宗液体、气体原料或产品供应关系的企业间未采用管道输送; 1分-化工园区未建立符合《化工园区公共管廊管理规程》( GB/T 36762)要求的相关公共管廊和企业间管道管理制度并有效运行; 2分-新建公共管廊不符合《化工园区公共管廊管理规程》( GB/T 36762)要求; 3分-符合要求。 |
||
| (21)化工园区应运用物联网等先进技术对危险化学品运输车辆进出园区进行实时监控,实行限时、限速行驶、专用道路或专用车道等措施,由化工园区实施统一管理、科学调度,防止安全风险积聚。有危险化学品车辆聚集较大安全风险的化工园区应建设符合有关要求的危险化学品车辆专用停车场并严格管理。 | 0分-化工园区未对危险化学品运输车辆进出进行监控;
1分-化工园区运用物联网等先进技术对危险化学品运输车辆进出进行监控,但未实行实时监控; 2分-化工园区未实行危险化学品运输车辆限时、限速行驶、专用道路或专用车道等措施,未实施统一管理、科学调度; 3分-有危险化学品车辆聚集较大安全风险的化工园区未建设危险化学品车辆专用停车场; 4分-建设的危险化学品车辆专用停车场未实行严格管理,不满足有关要求; 8分-符合要求。 |
||
| (22)化工园区应按照 “分类控制、分级管理、分步实施 ”要求,结合产业结构、产业链特点、安全风险类型等实际情况,分区实行封闭化管理,建立完善门禁系统和视频监控系统,利用信息化平台、视频监控、在线监测预警等技术手段,实现人员、车辆及物料进出全过程动态监管。对具有毒性气体、液态易燃气体、一级重大危险源的核心控制区采用远程探测在线监测预警。 | 0分-未按照 “分类控制、分级管理、分步实施 ”的要求分区实行封闭化管理;
1分-未建立门禁系统和视频监控系统; 3分-未对易燃易爆、有毒有害化学品、危险废物等物料和人员、车辆进出实施全过程动态监管; 5分-未对具有毒性气体、液态易燃气体、一级重大危险源的核心控制区采用远程探测在线监测预警; 8分-符合要求。 |
||
| (23)化工园区应按照有关法律法规和国家标准规范要求,督促企业对产生的固体废物特别是危险废物及时进行安全处置。 | 0分-化工园区未按照有关法律法规和国家标准规范要求,督促企业对产生的危险废物及时进行安全处置;
3分-符合要求。 |
||
| (24)化工园区应按照有关法律法规和国家标准规范要求,对事故应急状况下产生的废水收集进行需求分析和估算,确保在化工生产安全事故发生时能够满足事故废水处置要求。 | 0分-未进行事故应急状况下产生的废水收集需求分析和估算;或估算后,在化工园区化工生产安全事故发生时不能满足事故废水处置要求,未采取措施;
1分-事故应急状况下产生的废水收集需求分析和估算不合理; 3分-符合要求。 |
||
| (25)化工园区应通过自建、共建或委托服务的方式,建设满足《化工安全技能实训基地建设指南(试行)》等要求的化工安全技能实训基地。 | 0分-化工园区未建设化工安全技能实训基地;
1分-化工安全技能实训基地不满足《化工安全技能实训基地建设指南(试行)》等要求; 5分-符合要求。 |
||
|
6 |
安全生产与应急一体化管理(47分) |
(26)负责化工园区管理的地方人民政府应明确承担化工园区安全生产和应急管理职责的机构。 | 0分-未明确承担化工园区安全生产和应急管理职责的机构;
1分-未在化工园区(包括分片设置的片区)内或附近设立办公场所并配备相应的专业安全监管人员; 5分-符合要求。 |
| (27)化工园区管理机构应配备具有化工专业背景的负责人,建立化工园区管理机构领导带班制度;根据企业数量、产业特点、整体安全风险状况等因素,配齐配强专业安全监管人员,明确监管人员职责,合理调配力量,确保专业监管。化工园区专业安全监管人员原则上不少于 6人;化工(危险化学品)企业超过 20家的,专业安全监管人员原则上不少于 10人;化工(危险化学品)企业超过 40家的,专业安全监管人员原则上不少于 15人。专业安全监管人员应具有化工等相关专业本科及以上学历,或相关行业领域中级及以上专业技术职称、二级(技师)及以上职业资格,或注册安全工程师、安全评价师等职业资格,或在化工企业一线从事生产或安全管理 10年及以上。 | 0分-配备的专业安全监管人员数量不满足要求;
0分-化工园区管理机构未配备具有化工专业背景的负责人; 3分-未建立化工园区管理机构领导带班制度或未有效执行; 5分-符合要求。 |
||
| (28)化工园区应实施安全生产与应急一体化管理,明确化工园区负责人、安全生产管理机构及相关部门的安全管理职责,建立健全化工园区各项安全管理制度并严格落实。 | 0分-化工园区未建立安全生产与应急一体化管理权责清单,未明确化工园区负责人、安全生产管理机构及相关部门的安全管理职责,未建立化工园区各项安全管理制度;
1分-化工园区安全管理制度有缺项; 3分-化工园区建立了安全生产与应急一体化管理权责清单和各项安全管理制度,但未有效落实或及时修订; 5分-符合要求。 |
||
| (29)化工园区应按照有关法律法规和国家标准规范要求,制定化工园区安全隐患排查治理制度,制定年度安全检查计划,确定安全检查重点,对化工园区内涉及 “两重点一重大 ”的企业进行全覆盖安全检查。 | 0分-化工园区未制定实施安全隐患排查治理制度,未制定实施年度安全检查计划;
1分-化工园区制定实施的安全隐患排查治理制度或年度安全检查计划未覆盖化工园区内所有涉及 “两重点一重大 ”的企业; 3分-符合要求。 |
||
| (30)化工园区应建立健全行业监管、协同执法和应急救援的联动机制,协调解决化工园区内企业之间的安全生产重大问题,统筹指挥化工园区应急救援工作,指导企业落实安全生产主体责任,全面加强安全生产和应急管理工作。 | 0分-化工园区负有安全生产管理职责的部门与执法、应急管理等部门未建立健全行业监管、协同执法和应急救援的联动机制;
1分-化工园区负有安全生产管理职责的部门与执法、应急管理等部门建立健全了行业监管、协同执法和应急救援的联动机制,制定了相应的管理制度文件,但未有效运行; 3分-化工园区负有安全生产管理职责的部门与执法、应急管理等部门建立健全了行业监管、协同执法和应急救援的联动机制,制定了相应的管理制度文件并有效运行。 |
||
| (31)化工园区应按照国家有关要求,制定安全风险分级管控制度,对化工园区内企业进行安全风险分级,加强对红色、橙色安全风险的分析、评估、预警与管控。督促化工园区内危险化学品重大危险源企业按要求开展双重预防机制数字化建设与应用,确保优良运行,提高安全隐患排查治理效能。 | 0分-未制定安全风险分级管控制度; 0分-化工园区未开展化工园区内企业安全风险分级;
1分-化工园区开展了企业安全风险分级,但未实现化工园区内企业全覆盖; 1分-化工园区内危险化学品重大危险源企业未有效运行双重预防机制数字化系统; 5分-符合要求。 |
||
| (32)化工园区应开展化工园区安全生产信息化智能化平台建设,结合化工园区实际,建设符合《化工园区安全风险智能化管控平台建设指南(试行)》(应急厅〔2022〕5号)要求的化工园区安全风险智能化管控平台并有效运行。 | 0分-化工园区未建设安全风险智能化管控平台;
1分-化工园区安全风险智能化管控平台开发建设未根据化工园区实际需要,未按照《化工园区安全风险智能化管控平台建设指南(试行)》(应急厅〔2022〕5号)要求,安全基础管理、重大危险源安全管理等六大功能模块存在缺漏; 2分-化工园区安全风险智能化管控平台建设了安全基础管理、重大危险源安全管理等六大功能模块,但模块下功能点或其功能实现存在缺漏; 5分-化工园区安全风险智能化管控平台开发建设满足《化工园区安全风险智能化管控平台建设指南(试行)》(应急厅〔2022〕5号)要求,但未有效运行; 8分-符合要求。 |
||
| (33)化工园区应制定总体应急预案及专项预案,至少每两年组织一次生产安全事故应急演练。 | 0分-化工园区未制定总体应急预案和专项预案;
1分-化工园区未按要求开展应急演练; 3分-符合要求。 |
||
| (34)化工园区应编制化工园区消防规划或在化工园区总体规划中设置消防专篇,按照有关法律法规和《关于进一步加强国有大型危化企业专职消防队伍建设的意见》《危化企业消防站建设标准》等要求,结合园区实际,布点及建设消防站,消防车种类、数量、结构以及车载灭火药剂数量、装备器材、防护装具等应满足生产安全事故处置需要。化工园区应建设危险化学品专业应急救援队伍,根据自身安全风险类型,配套建设医疗急救场所和气防站。 | 0分-化工园区未编制消防规划或消防专篇,消防站建设不符合要求,气防站、医疗救护场所和危险化学品专业应急救援队伍建设均不符合要求;
0-5分-消防规划或专篇编制、消防站建设、医疗救护场所、气防站、危险化学品专业应急救援队伍建设符合要求,每项 1分,逐项累积得分。 |
||
| (35)化工园区应建立健全化工园区内企业及公共应急物资储备保障制度,统筹规划配备充足的应急物资装备。 | 0分-未建立企业及公共应急物资储备保障制度;
0分-化工园区未配备充足的应急物资装备; 3分-符合要求。 |
||
| (36)化工园区应加强对台风、雷电、洪水、泥石流、滑坡等自然灾害的监测和预警,落实有关灾害的防范措施,防范因自然灾害引发危险化学品次生灾害。 | 0分-未对台风、雷电、洪水、泥石流、滑坡等自然灾害监测和预警;
1分-未落实有关灾害的防范措施; 2分-符合要求。 |
评分说明:
1、评分时,对各项评估内容按照各自对应的评分细则逐一进行评分。
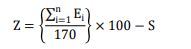
2、采用百分制进行评分,化工园区计算分值按如下公式计算:
![]()
式 中:
- Z-化工园区计算分值;
- Ei -单项评估内容分值;
- S-事故扣分分值, 12个月内,化工园区内企业每发生 1起亡人的一般化工生产安全事故,扣 3分,多起事故需累积计算。
3、化工园区存在以下情况,直接判定为高安全风险等级( A级):
(1)化工园区规划不符合所在设区的市国土空间规划或未明确 “四至 ”范围;
(2)化工园区未明确承担安全生产管理职责的机构或配备的专业安全监管人员不满足要求;
(3)化工园区与高敏感防护目标、重要防护目标和居民区之间的外部安全防护距离不符合标准要求;
(4)化工园区内部布局不合理,企业之间存在重大安全风险叠加失控;
(5)化工园区内存在在役化工装置未经具有相应资质的单位设计且未通过安全设计诊断的企业;
(6)化工园区内存在涉及危险化工工艺的特种作业人员学历资质不满足相关要求的企业;
(7)化工园区不能保障双电源供电,或化工园区内有一级负荷时,双电源的每一路电源的变压器总容量不能都满足所有负荷用电需求;
(8)化工园区内企业发生较大及以上化工生产安全事故。


