2018 – 09 – 21 发布 2018 – 10 – 21 实施
河北省质量技术监督局 发布
河北知名品牌评价规范
服务业组织
DB 13/T 2861—2018
1 范 围
本标准规定了河北服务业组织知名品牌评价的术语和定义、评价原则、申报条件、评价方法和程序、评价指标、评价计分及评价报告。
本标准适用于河北服务业组织知名品牌的评价。
2 术语和定义
下列术语和定义适用于本文件。
2.1 服务业组织 organization in service sector
向顾客提供服务的组织。
2.2 品牌 brand
与营销相关的无形资产,包括(但不限于)名称、用语、符号、形象、标识、设计或其组合,用于区分产品、服务和(或)实体,或兼而有之,能够在利益相关方意识中形成独特印象和联想,从而产生经济利益(价值)。
[GB/T 29187-2012,定义2.2]
2.3 河北知名品牌 Hebei famous brand
服务质量达到国内同类先进水平、在省内同行业处于领先地位、品牌价值居行业前列、经济及社会效益良好、具有较强的市场竞争力、经合法注册服务业组织拥有的品牌。
3 评价原则
评价应遵循以下原则:
a)以事实和客观证据为依据;
b)科学、公正、公平、公开;
c)第三方评价;
d)不收取费用。
4 申报条件
4.1 基本条件
服务业组织申报应具备下列条件:
a)符合国家相关法律法规和产业政策的规定;
b)按照合法、有效的服务标准连续运营三年以上;
c)服务质量居省内同行业领先水平;
d)使用注册商标或形象标识满三年;
e)市场占有率、品牌知名度、顾客满意度居省内同行业前列;
f)建立较为完善的质量管理体系和标准体系,且有效运行或已通过认证、评估;
g)注重社会效益和社会责任,经济效益在省内同行业处于先进水平;
h)服务理念、组织文化和服务手段科学先进,具有较强的核心竞争力;
i)落实服务业组织质量主体责任,拥有完善的售后服务体系;
j)建立完善的品牌使用、管理和保护制度。
4.2 否决条件
有下列情况(但不限于)之一,不应申报:
a)注册地址不在本省行政区域内的;
b)使用国(境)外注册商标的;
c)依据法律法规要求,证照手续不全或证照不在有效期内的;
d)近三年内,发生较大社会影响的服务质量问题或有重大质量投诉、曝光事件的;
e)近三年内,发生重大安全、环保事故和知识产权侵权行为的;
f)近三年内,政府诚信监管体系中存在严重不良信用记录的;
g)有其他违法、违规行为的。
5 评价方法和程序
5.1 评价方法
5.1.1 采取观察、比对、验证等方式,审查申报材料和其它证实性材料,获取客观有效数据信息,按照评价计分表评价计分,提出推荐意见,形成评价报告。
5.1.2 评价过程中遇到特殊情况或发现不符合申报条件的,依据证实性材料、行业特征及服务特点开展评价或取消评价。
5.2 评价程序
评价应遵循以下程序:
a)按行业类别选取评价专家;
b)组成专家组,明确职责分工;
c)专家组制定评价工作方案;
d)专家根据评价方法评价打分;
e)专家组编制评价报告。
6 评价指标
6.1 质量评价
质量评价包括3项二级指标:
a)服务标准化;
b)服务保障;
c)质量管理。
6.2 市场评价
市场评价包括3项二级指标:
a)顾客满意水平;
b)品牌知名度;
c)市场占有水平。
6.3 效益评价
效益评价包括2项二级指标:
a)经济效益;
b)社会效益。
6.4 发展评价
发展评价包括2项二级指标:
a)创新能力;
b)创新成果。
7 评价计分
7.1 指标权重
评价指标总分为1000 分,指标权重分别为:质量评价300分、市场评价300分、效益评价200分、发展评价200分,见附录A。
7.2 计分方法
有关指标计分方法见附录B。
8 评价报告
评价报告应包括(但不限于)下列内容:
a)评价工作方案及分工情况;
b)被评组织整体情况;
c)评价得分及得分说明;
d)被评组织待改进内容;
e)推荐意见;
f)专家组确认签字。
附 录 A
(规范性附录)
评价计分表
表A.1给出了河北服务业组织知名品牌评价计分表。
表 A.1 评价计分表
一级指标 |
二级指标 |
三级指标 |
指标
|
评分说明 |
|
质量评价 |
服务 |
法律法规 | 30 | 1)收集并执行相关法律、法规,得10分; 2)收集并执行相关政策、规划和制度,得10分; 3)收集并执行相关强制性标准,得10分。 |
| 执行标准 | 30 | 1)执行国际标准和国外先进标准并取得相关证明的,得30分; 2)执行国家、行业、地方、团体和企业标准100项以上,得30分;50-100项,得20分;50项以下按比例计分,最高得10分。 |
||
| 标准体系 | 40 | 按 GB/T 24421.2 的要求建立服务业组织标准体系: 1)标准体系规范、完整,得 20 分; 2)标准体系协调、有效,得 20 分。 |
||
| 标准化 示范试点 |
50 | 按标准化行政主管部门立项建设的服务业标准化示范试点项目计: 1)国家级服务业标准化示范试点项目通过评估的,得 50 分; 2)省级服务业标准化示范试点项目通过评估的,得 40。 |
||
|
服务保障 |
组织结构 | 20 | 1)建立完整的组织架构及岗位职责,得 10 分; 2)建立岗位责任制、操作规程及监督检查制度,得 10 分。 |
|
| 人员素质 和技能 |
30 | 按组织员工取得人力资源社会保障部、国家各行业主管部门组织的职业(执业)资格证书、各级别职称或高级技师比例计,计算方法见 B.2。 | ||
| 设施设备 | 30 | 1)按营业场所面积(15分)计,计分方法见B.1; 2)按固定资产总额(15分)计,计分方法见B.1; 3)依据设施设备满足服务提供的程度酌情给分。 |
||
|
质量管理 |
管理体系 | 40 | 1)建立质量管理体系并有效运营的,得15分; 2)通过质量管理体系认证且证书在有效期内,得15分; 3)开展质量管理活动,如卓越绩效、六西格玛、QC小组等,得 10 分。 |
|
| 质量诚信 | 15 | 1)实施质量诚信管理,得 15 分; 2)主动发布质量信用报告,得 10 分; 3)对外公示质量承诺条款,得 5 分。 |
||
| 风险防控 | 15 | 1)有健全的服务风险防范机制,得 15 分; 2)在申报期内购买产品责任保险、公众责任保险等责任保险产品,主动防范风险,得 15 分。 |
||
|
市场评价 |
顾客满意水平(120) |
顾客 满意度 |
60 | 1)按实际调查所得的顾客满意度指数*0.6 计,为该项得分; 2)顾客满意度指数*0.6 低于 45 分,按 0 分计。 |
| 顾客 投诉处理 |
60 | 1)建立完善的顾客投诉处理机制,得 30 分; 2)及时合理解决投诉,顾客投诉处理率 100%,得 30 分;低于 100%,高于 90%,得 20 分;低于 90%,高于 80%,得 10 分;低于 80%不得分。 |
||
|
品牌 |
品牌规划 | 30 | 1)建立品牌培育机制,得 10 分; 2)制定品牌发展规划,得 10 分; 3)建立品牌使用、管理和保护制度,得 10 分。 |
|
| 品牌荣誉 | 30 | 1)注册商标获得中国商标金奖,得 30 分;获得中国商标金奖提名奖,得 20 分; 2)获得中国驰名商标,得 30 分; 3)获得中华老字号,得 30 分。 |
||
| 品牌历史 | 20 | 使用注册商标或标志标识满 3 年起,每多一年得 5 分。 | ||
| 品牌宣传 | 20 | 1)将品牌宣传投入纳入年度预算,得 5 分; 2)对品牌宣传进行策划并对宣传效果进行评估,得 10 分; 3)主动参与“质量月”、“河北品牌节”、“中国品牌日”等品牌宣传活动,得 5 分。 |
||
| 品牌价值 | 20 | 参与品牌价值评价得 20 分。 | ||
| 市场占有水平(60) | 年服务量 | 30 | 计分方法见 B.1。 | |
| 主营业务 收入 |
30 | 计分方法见 B.1。 | ||
|
效益评价 |
经济效益 |
纳税总额 | 30 | 计分方法见 B.1。 |
| 利润总额 | 30 | 计分方法见 B.1。 | ||
| 成本费用 利税率 |
30 | 成本费用利税率=利税总额/成本费用总额*100%,计分方法见 B.2。 | ||
| 资产贡献率 | 30 | 资产贡献率=(利润总额+税金总额+利息支出)/平均资产总额*100,计分方法见 B.2。 | ||
| 资产总额 | 30 | 计分方法见 B.1。 | ||
|
社会效益 |
社会责任 | 30 | 1)主动发布社会责任报告,得 10 分; 2)通过环境、职业健康安全管理体系认证且证书在有效期内的得 10 分; 3)获得安全生产、职业健康、节能减排、循环经济、保护环境先进组织,国家级每项 10 分,省级每项 5 分。 |
|
| 公益慈善 支出占比 |
20 | 公益慈善支出占比=公益慈善支出/主营业务收入*100%,计分方法 B.2。 | ||
|
发展评价 |
创新能力 |
创新投入 占比 |
30 | 创新投入占比=创新投入/主营业务收入*100%,计分方法见 B.2。 |
| 服务创新 | 30 | 1)有服务创新意识,以满足顾客需求为创新导向,得 10 分; 2)建立服务创新制度并实施,得 10 分; 3)有明确的同行业标杆,持续改进,得 10 分。 |
||
| 现代信息 技术应用 |
40 | 1)创新互联网+模式,开展智能服务,得 10 分; 2)建立互联网信息服务平台的,得 10 分; 3)开展线上、线下服务结合的,得 10 分; 4)获得互联网服务相关奖项的,得 10 分。 |
||
|
创新成果 |
标准制修订 | 40 | 1)主导制修订国际、国家、行业标准,得 40 分; 2)参与制修订国际、国家、行业标准,得 30 分; 3)主导制修订地方标准或团体标准,得 20 分; 4)参与制修订地方标准或团体标准,得 10 分。 |
|
| 知识产权 | 20 | 1)取得发明专利,得 20 分; 2)取得外观设计专利,得 10 分; 3)取得实用新型专利,得 10 分; 4)取得著作权,得 5 分。 |
||
| 获奖情况 | 20 | 1)获得国家级服务类奖项,得 20 分; 2)获得省级服务类奖项,得 15 分; 3)获得市级服务类奖项,得 10 分。 |
||
| 等级认定 | 20 | 按行业主管部门等级认定(如:星级、钻级、A 级、叶级等)计,最高级别得 20 分;其他级别的按 4 分递减。 | ||
| 注:
1.同一项只计最高分,每项得分累计不超最高分值。 |
||||
附 录 B
(规范性附录)
计分方法
B.1 计分方法一
采用“连续计分法”,按年度权数加权平均,计算指标项得分。具体计算公式如下:

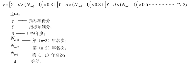
B.2 计分方法二
对于需排序计分的客观评价指标采用以下方法计分:
具体计算公式如下:

计算公式中d按以下方法确定:
a)同一行业有十个以内(含十个)服务业组织时,d=该项满分/10;第一名为满分,以10%依次等差递减;
b)同一行业有十个以上服务业组织时,d=该项满分/服务业组织总数;第一名为满分,以“该项满分/服务业组织总数”为等差依次递减。


