国防科技重点实验室评估指标体系
一、定期评估的指标体系
(为了加强国防科技重点实验室管理,规范重点实验室评估工作,建立完善以科技创新质量、贡献、绩效为导向的重点实验室评估制度,国防科工局制定并发布了《国防科技重点实验室评估规则》(局综技〔2017〕80号)文件,评估规则附件中包含了《国防科技重点实验室评估指标体系》,国防科技重点实验室评估指标包含3项一级指标和14项二级指标,分别为 可持续发展能力,创新水平与贡献,运行与管理机制。)
(一)评估指标。
国防科技重点实验室(以下简称重点实验室)定期评估指标包含3项一级指标和14项二级指标,具体参见下表。
|
一级指标 |
二级指标 |
权重(%) |
|
|
可持续发展能力 |
发展规划 | 5 | 30 |
| 科研任务 | 10 | ||
| 研究队伍 | 6 | ||
| 科研条件 | 5 | ||
| 依托单位支持 | 4 | ||
|
创新水平与贡献 |
科技成果 | 10 | 50 |
| 人才培养 | 10 | ||
| 创新水平 | 10 | ||
| 对装备研制的贡献 | 10 | ||
| 对领域发展的贡献 | 10 | ||
|
运行与管理机制 |
组织管理 | 6 | 20 |
| 制度建设 | 4 | ||
| 学术交流 | 4 | ||
| 开放共享 | 6 | ||
(二)指标内涵与考核要点。
- 发展规划。
“发展规划”是指重点实验室中长期发展的定位、目标、重点、举措以及实施效果,属于定性指标。
考核要点:(1)发展定位与国家级重点实验室地位、功能的符合性;(2)发展目标的明晰性、可行性;(3)发展重点与国防科技和武器装备技术生长点的一致性;(4)发展举措与发展目标的匹配性;(5)规划实施的现实和预期效果。
- 科研任务。
“科研任务”是指重点实验室承担的符合研究方向和发展定位的各类科研项目,属于定量指标。
考核要点:(1)课题数量;(2)课题经费。
- 研究队伍。
“研究队伍”是指重点实验室各研究方向固定人员的集合,属于定性指标。
考核要点:(1)研究队伍的规模;(2)研究队伍的水平;(3)研究队伍的结构;(4)研究队伍的独立性和稳定性。
- 科研条件。
“科研条件”是指重点实验室开展科研活动必须的硬件和软件支撑,包括科研仪器、设备设施、科研环境、办公条件,属于定性指标。
考核要点:(1)各研究方向所配备的科研仪器、设备设施及其水平;(2)管理维护、升级改造、自行研制科研仪器、设备设施的能力;(3)科研仪器、设备设施在科研活动中所发挥的作用;(4)重点实验室的科研环境、办公条件。
- 依托单位支持。
“依托单位支持”是指依托单位为重点实验室提供的经费和政策支持以及相关配套保障,属于定性指标。
考核要点:(1)依托单位提供的经费支持;(2)依托单位提供的政策支持;(3)依托单位提供的配套保障情况;(4)依托单位对重点实验室的认识。
- 科技成果。
“科技成果”是指重点实验室完成的符合其研究方向的科技成果,属于定量指标。
考核要点:(1)科技奖励的数量和质量;(2)发明专利(含国防专利)的授权和申请数量;(3)学术论文与专著的数量和质量。
- 创新水平。
“创新水平”是指重点实验室科研活动、科技成果的创造性、先进性、系统性,属于定性指标。
考核要点:(1)代表性科学试验的创新程度和水平;(2)提出、解决科学问题、技术问题的能力和水平;(3)代表性成果的创造性和先进性;(4)各研究方向代表性成果的协调性。
- 人才培养。
“人才培养”是指重点实验室培养的各类层次人才的数量和质量,属于定量指标。
考核要点:(1)领军人物的数量;(2)学术带头人的数量;(3)优秀中青年的数量;(4)青年人才(博士后、博士与硕士)的数量。
- 对装备研制的贡献。
“对装备研制的贡献”是指重点实验室在武器装备研制方面所发挥的支撑保障作用,属于定性指标。
考核要点:(1)科研任务与装备研制的关联性;(2)为装备研制形成的技术储备;(3)科技成果在装备研制中的转化应用情况。
- 对领域发展的贡献。
“对领域发展的贡献”是指重点实验室在推动所属专业领域知识创新、技术进步方面所发挥的引领带动作用,属于定性指标。
考核要点:(1)提升所属专业领域研究水平方面的贡献;(2)推动所属专业领域技术进步方面的贡献;(3)为所属专业领域发展输送人才方面的贡献。
- 组织管理。
“组织管理”是指重点实验室的组织体系及其运行情况,属于定性指标。
考核要点:(1)重点实验室主任任职与履职情况;(2)学术委员会组成与履职情况;(3)重点实验室机构设置及其常态化运行情况。
- 制度建设。
“制度建设”是指重点实验室的制度建设及其执行情况,属于定性指标。
考核要点:(1)管理制度的合规性与完备性;(2)管理制度的特色和可操作性;(3)管理制度的执行情况及其执行效果。
- 学术交流。
“学术交流”是指重点实验室组织、参与的旨在交流信息、开阔视野、掌握新知的学术会议或学术讲学活动,属于定量指标。
考核要点:(1)组织、参与的学术会议数量和质量;(2)组织、参与的学术讲学活动的数量和质量;(3)流动人员的数量和质量。
- 开放共享。
“开放共享”是指重点实验室的科研任务、设备设施、科学数据等资源的开放共享情况,属于定性指标。
考核要点:(1)开放共享渠道的设立情况;(2)课题开放情况及效果;(3)设备设施的开放情况和共享效果;(4)科学数据、技术资料等资源的开放程度和共用情况;(5)开放共享的层次。
(三)评定标准。
重点实验室评估指标体系的各项二级指标均按7个档次进行评定。定量指标的档次,由量化计算确定。定性指标的档次,根据具体标准进行评定;其中,1、3、5、7档的评定标准如下表所示,2、4、6档的评定标准分别介于相应两档的评定标准之间。
1. 可持续发展能力。
指标 |
1档 |
3档 |
5档 |
7档 |
|
发展 |
1.发展定位与国家级重点实验室的地位、功能完全相符;
2.近中远期发展目标明确、可行,技术发展路线清晰; 3.发展重点能够紧扣国防科技发展和未来武器装备研制的技术生长点; 4.发展举措与发展目标完全匹配; 5.规划实施的现实和预期效果好。 |
1.发展定位与国家级重点实验室的地位、功能总体相符;
2.近中远期发展目标较为明确、可行,技术发展路线较清晰; 3.发展重点能够把握国防科技发展和未来武器装备研制的技术生长点; 4.发展举措与发展目标总体匹配; 5.规划实施的现实和预期效果较好。 |
1.发展定位与国家级重点实验室的地位、功能基本相符;
2.近中远期发展目标基本明确、可行,技术发展路线基本清晰; 3.发展重点能够基本把握国防科技发展和未来武器装备研制的技术生长点; 4.发展举措与发展目标基本匹配; 5.规划实施的现实和预期效果一般。 |
1.发展定位与国家级重点实验室的地位、功能不相符;
2.近中远期发展目标不明确、不可行,技术发展路线不清晰; 3.发展重点没有把握国防科技发展和未来武器装备研制的技术生长点; 4.发展举措与发展目标不匹配; 5.规划实施的现实和预期效果差。 |
|
研究 |
1.具有领军人物、国家级创新团队,且在重点实验室发展中发挥了主导作用;
2.各研究方向均有学术带头人,且在科学研究、人才培养、学术交流等方面发挥了重要作用; 3.研究队伍年龄和知识结构合理,且各研究方向固定人员均不少于10人; 4.骨干研究人员在依托单位其他内设部门没有兼职,评估期内固定人员调入调出比例不超过30%。 |
1.具有领军人物、国家级创新团队,且在重点实验室发展中发挥了作用;
2.多数研究方向有学术带头人,且在科学研究、人才培养、学术交流等方面发挥了作用; 3.研究队伍年龄和知识结构较为合理,且多数研究方向固定人员不少于10人; 4.骨干研究人员在依托单位其他内设部门有一定兼职现象,评估期内固定人员调入调出比例不超过40%。 |
1.缺乏领军人物;
2.有学术带头人,且在科学研究、人才培养、学术交流等方面发挥了一定作用; 3.研究队伍年龄和知识结构基本合理; 4.骨干研究人员在依托单位其他内设部门兼职现象较明显,或者评估期内固定人员调入调出比例较高。 |
1.缺乏领军人物;
2.缺乏学术带头人,或学术带头人在科学研究、人才培养、学术交流等方面没有发挥作用; 3.研究队伍年龄和知识结构难以满足研究工作的需要; 4.骨干研究人员在依托单位其他内设部门兼职现象严重,或者评估期内固定人员高频次调入调出。 |
|
科研 |
1.各研究方向均具备开展高水平基础性、前沿性科研活动的实验仪器、设备设施;
2.关键仪器设备属于本领域国际先进水平,且在科研活动中发挥了重要作用; 3.管理维护、升级改造、自行研制实验仪器、设备设施的能力强; 4.科研环境一流,办公场所集中独立,创新文化氛围浓厚。 |
1.各研究方向均具备开展较高水平基础性、前沿性科研活动的实验仪器、设备设施;
2.关键仪器设备属于本领域国内领先水平,且在科研活动中发挥了应有作用; 3.管理维护、升级改造、自行研制实验仪器、设备设施的能力较强; 4.科研环境良好,办公场所相对集中、独立,形成了创新文化氛围。 |
1.多数研究方向具备开展基础性、前沿性科研活动的实验仪器、设备设施;
2.关键仪器设备属于本领域国内先进水平,且在科研活动中发挥了作用; 3.管理维护、升级改造、自行研制实验仪器、设备设施的能力一般; 4.科研环境一般,办公场所较分散,创新文化氛围不突出。 |
1.多数研究方向不具备开展基础性、前沿性科研活动的实验仪器、设备设施;
2.关键仪器设备不具备本领域国内先进水平,或者在科研活动中没有发挥作用; 3.管理维护、升级改造、自行研制实验仪器、设备设施的能力差; 4.科研环境较差,办公场所分散、不独立,缺乏创新文化氛围。 |
|
依托 |
1.依托单位支持重点实验室经费年均500万元以上;
2.依托单位在自筹经费科研项目、人才培养和引进、绩效考核、收入分配、职称晋升等方面对重点实验室有专项政策支持,且落实到位; 3.依托单位在设备、用房及其配套保障方面完全满足重点实验室运行、发展需求; 4.依托单位主要领导对重点实验室功能定位、运行管理等理解准确、认识到位。 |
1.依托单位支持重点实验室经费年均350万元以上;
2.依托单位在自筹经费科研项目、人才培养和引进、绩效考核、收入分配、职称晋升等方面对重点实验室有一定的政策倾斜,且有落实; 3.依托单位在设备、用房及其配套保障方面较好满足了重点实验室运行、发展需求; 4.依托单位主要领导对重点实验室功能定位、运行管理等理解比较准确、认识比较到位。 |
1.依托单位支持重点实验室经费年均200万元以上;
2.依托单位在自筹经费科研项目、人才培养和引进、绩效考核、收入分配、职称晋升等某些∕个方面对重点实验室有一定的政策倾斜,且有一定落实; 3.依托单位在设备、用房及其配套保障方面基本满足重点实验室运行、发展需求; 4.依托单位主要领导对重点实验室功能定位、运行管理等理解基本准确、认识基本到位。 |
1.依托单位对重点实验室没有明确的政策支持,或者政策支持未落实;
2.依托单位在设备、用房及其配套保障方面无法满足重点实验室运行、发展需求; 3.依托单位主要领导对重点实验室功能定位、运行管理等理解不准确、认识不到位。 |
2. 创新水平与贡献。
指标 |
1档 |
3档 |
5档 |
7档 |
|
创新 |
1.开展了具有国际先进水平的科研活动,或者提出了具有基础性、前沿性重大原创问题并得到所属专业领域国际同行高度评价;
2.取得了具有国际先进水平的系统性突破性原创成果; 3.各研究方向均有代表性成果; 4.获得了国家级一等及以上科技奖项。 |
1.开展了具有国内先进水平的科研活动,或者提出了具有基础性、前沿性原创问题并得到所属专业领域国内同行高度评价;
2.取得了具有国内先进水平的系统性、突破性原创成果; 3.多数研究方向均有代表性成果; 4.获得了省部级(含军队)一等及以上科技奖项。 |
1.开展了具有一定水平的科研活动,或者提出了具有基础性、前沿性原创问题并得到所属专业领域国内同行认可;
2.取得了具有行业先进水平的创新成果; 3.主要研究方向有代表性成果; 4.获得了省部级(含军队)三等科技奖励。 |
1.科研活动缺乏创新性、先进性;
2.代表性成果缺乏系统性、创新性; 3.多数研究方向缺乏代表性成果; 4.未在SCI/EI收录期刊上发表过论文。 |
|
对装 |
1.属于国防科技和武器装备发展内容或具有明确军事应用前景的科研任务经费比例超过85%;
2.解决的科学问题、突破的前沿技术、采集的科学数据,为武器装备发展提供了充足的技术储备; 3.科研成果为装备研制立项论证、型号研制关键技术攻关提供了重要支撑,并发挥了显著促进作用。 |
1.属于国防科技和武器装备发展内容或具有明确军事应用前景的科研任务经费比例超过80%;
2.解决的科学问题、突破的前沿技术、采集的科学数据,为武器装备发展提供了技术储备; 3.科研成果为装备研制立项论证、型号研制关键技术攻关提供了支撑,并发挥了较大的促进作用。 |
1.属于国防科技和武器装备发展内容或具有明确军事应用前景的科研任务经费比例超过70%;
2.解决的科学问题、突破的前沿技术、采集的科学数据,为武器装备发展提供了一定的技术储备; 3.科研成果为装备研制立项论证、型号研制关键技术攻关提供了一定支撑,并发挥了一定作用。 |
1.属于国防科技和武器装备发展内容或具有明确军事应用前景的科研任务经费比例不足50%;
2.科研成果未能形成支撑武器装备发展的技术储备; 3.科研成果对装备研制立项论证、型号研制关键技术攻关的支撑作用不明显。 |
|
对领 |
1.科研成果推广转化效果显著,极大推动了所属专业领域技术发展;
2.在提升所属专业领域研究水平方面有重要贡献; 3.为所属专业领域发展输送了有重要影响和重大贡献的人才。 |
1.科研成果推广转化效果较为显著,较大推动了所属专业领域技术发展;
2.在提升所属专业领域研究水平方面有较大贡献; 3.为所属专业领域发展输送了有较大影响和积极贡献的人才。 |
1.科研成果推广转化效果明显,推动了所属专业领域技术发展;
2.在提升所属专业领域研究水平方面有一定贡献; 3.为所属专业领域发展输送了有一定影响和贡献的人才。 |
1.科研成果推广转化效果一般,对所属专业领域技术发展推动不足;
2.在提升所属专业领域研究水平方面贡献不足; 3.没有为所属专业领域发展输送人才。 |
3. 运行与管理机制。
指标 |
1档 |
3档 |
5档 |
7档 |
|
组织 |
1.重点实验室主任任职条件好,履职效果好;
2.学术委员会人员组成符合规定,学术委员平均到会率或参加重点实验室学术活动出席率不低于85%,履职效果好; 3.重点实验室机构设置合理,机构常态化运行效果好。 |
1.重点实验室主任任职条件较好,履职效果较好;
2.学术委员会人员组成总体符合规定,学术委员平均到会率或参加重点实验室学术活动出席率不低于80%,履职效果较好; 3.重点实验室机构设置较合理,机构常态化运行效果较好。 |
1.重点实验室主任任职条件一般,履职效果一般;
2.学术委员会人员组成基本符合规定,学术委员平均到会率或参加重点实验室学术活动出席率不足70%,履职效果一般; 3.重点实验室机构设置一般,机构常态化运行效果一般。 |
1.重点实验室主任任职条件差,履职效果差;
2.学术委员会人员组成不符合规定,学术委员平均到会率或参加重点实验室学术活动出席率不足60%,履职效果差; 3.重点实验室机构设置不合理,机构常态化运行效果差。 |
|
制度 |
1.规章制度完备,相关政策要求落实到位;
2.规章制度符合重点实验室特点,可操作性好; 3.规章制度日常执行规范,执行效果好。 |
1.规章制度较完备,相关政策要求落实较好;
2.规章制度能体现重点实验室特点,可操作性较好; 3.规章制度日常执行较规范,执行效果较好。 |
1.规章制度完备性一般,相关政策要求落实情况一般;
2.规章制度体现重点实验室特点情况一般,可操作性一般; 3.规章制度日常执行情况一般,执行效果一般。 |
1.规章制度完备性差,相关政策要求落实不到位;
2.规章制度未体现重点实验室特点,可操作性差; 3.规章制度日常执行不到位,执行效果差。 |
|
开放 |
1.开放共享制度健全、机制完善,落实效果好;
2.设立了开放课题,实施效果好; 3.设备设施开放情况和共享效果好; 4.科学数据、技术资料共享渠道畅通、共享资源丰富、共享效果好; 5.保密区、非密区划分明确,在确保国家秘密安全的前提下,实现了国际、国内、行业内部三个层次的开放交流。 |
1.开放共享制度较健全、机制较完善,落实效果较好;
2.设立了开放课题,实施效果较好; 3.设备设施开放情况和共享效果较好; 4.科学数据、技术资料共享渠道较畅通、共享资源较丰富、共享效果较好; 5.保密区、非密区划分明确,在确保国家秘密安全的前提下,实现了国内、行业内部的开放交流。 |
1.建立了开放共享制度,落实效果一般;
2.设立了开放课题,实施效果一般; 3.设备设施开放情况和共享效果一般; 4.科学数据、技术资料共享渠道、共享资源、共享效果一般; 5.保密区划分明确,在确保国家秘密安全的前提下,实现了行业内部的开放交流。 |
1.开放共享制度不健全、机制不完善,落实效果差;
2.未设立开放课题; 3.设备设施开放情况和共享效果差; 4.科学数据、技术资料共享渠道、共享资源、共享效果差; 5.保密区、非密区划分不明确,没有实现国际、国内、行业内部三个层次的开放交流。 |
二、试运行评估的指标体系
(一)评估指标。
试运行评估指标包含4项一级指标和16项二级指标,其中,“可持续发展能力”、“创新水平与贡献”、“运行与管理机制”3项一级指标权重合计60%,“试运行情况”权重为40%。具体参见下表。
一级指标 |
二级指标 |
权重(%) |
||
|
可持续发展能力 |
发展规划 | 5 | 100 | 60 |
| 科研任务 | 10 | |||
| 研究队伍 | 6 | |||
| 科研条件 | 5 | |||
| 依托单位支持 | 4 | |||
|
创新水平与贡献 |
科技成果 | 10 | ||
| 人才培养 | 10 | |||
| 创新水平 | 10 | |||
| 对装备研制的贡献 | 10 | |||
| 对领域发展的贡献 | 10 | |||
|
运行与管理机制 |
组织管理 | 6 | ||
| 制度建设 | 4 | |||
| 学术交流 | 4 | |||
| 开放共享 | 6 | |||
|
试运行情况 |
设立评审问题整改情况 | 40 | 100 | 40 |
| 设立评审核实数据变化情况 | 60 | |||
(二)指标内涵与考核要点。
试运行评估的“可持续发展能力”、“创新水平与贡献”、“运行与管理机制”3项一级指标及其对应的14项二级指标的内涵与考核要点,同定期评估相应指标的指标内涵、考核要点、评审标准一致。“试运行情况”对应的两项二级指标如下。
- 设立评审问题整改情况。
“设立评审问题整改情况”是指重点实验室针对设立评审时存在的问题所采取的整改措施及其整改成效,属于定性指标。
考核要点:(1)整改措施与设立评审问题的相关性;(2)整改措施的合理性;(3)整改措施的落实情况;(4)整改取得的成效。
- 设立评审核实数据变化情况。
“设立评审核实数据变化情况”是设立评审时核实的重点实验室固定人员、科研办公面积、仪器设备、依托单位支持的科研经费和运行经费等数据,在试运行期间的变化情况及其变化效果,属于定性指标。
考核要点:(1)设立评审时核实数据(人员、面积、设备、依托单位支持经费等)的变化情况;(2)数据变化情况对重点实验室发展的影响。
(三)评审标准。
指标 |
1档 |
3档 |
5档 |
7档 |
|
设立 |
1.整改措施相关性高、针对性强,落实到位;
2.设立评审时专家组提出的全部问题得到整改落实,且效果显著。 |
1.整改措施相关性较高、针对性较强,落实比较到位;
2.设立评审时专家组提出的主要问题得到整改落实,且效果较好。 |
1.整改措施相关性和针对性一般,基本落实到位;
2.设立评审时专家组提出的部分问题得到整改落实,效果一般。 |
1.整改措施相关性和针对性差,落实不到位;
2.设立评审时专家组提出的问题没有得到整改落实。 |
|
设立 |
设立评审时核实数据(人员、面积、设备、依托单位支持经费等)有积极变化,有效促进了重点实验室发展。 | 设立评审时核实数据(人员、面积、设备、依托单位支持经费等)有变化,对重点实验室发展有利。 | 设立评审时核实数据(人员、面积、设备、依托单位支持经费等)发生较大变化,对重点实验室发展造成不利影响。 | 设立评审时核实数据(人员、面积、设备、依托单位支持经费等)变化很大,严重影响重点实验室运行。 |
三、复评估的指标体系
(一)评估指标。
复评估指标包含4项一级指标和16项二级指标,其中,“可持续发展能力”、“创新水平与贡献”、“运行与管理机制”3项一级指标权重合计50%,“整改情况”权重为50%。具体参见下表。
一级指标 |
二级指标 |
权重(%) |
||
|
可持续发展能力 |
发展规划 | 5 | 100 | 50 |
| 科研任务 | 10 | |||
| 研究队伍 | 6 | |||
| 科研条件 | 5 | |||
| 依托单位支持 | 4 | |||
|
创新水平与贡献 |
科技成果 | 10 | ||
| 人才培养 | 10 | |||
| 创新水平 | 10 | |||
| 对装备研制的贡献 | 10 | |||
| 对领域发展的贡献 | 10 | |||
|
运行与管理机制 |
组织管理 | 6 | ||
| 制度建设 | 4 | |||
| 学术交流 | 4 | |||
| 开放共享 | 6 | |||
|
整改情况 |
整改措施 | 60 | 100 | 50 |
| 整改成效 | 40 | |||
(二)指标内涵与考核要点。
复评估的“可持续发展能力”、“创新水平与贡献”、“运行与管理机制”3项一级指标及其对应的14项二级指标的内涵与考核要点,同定期评估相应指标的指标内涵、考核要点、评审标准一致。“整改情况”对应的两项二级指标如下。
- 整改措施。
“整改措施”是重点实验室针对存在的问题采取的具体改进措施,属于定性指标。
考核要点:(1)整改措施的相关性;(2)整改措施的合理性;(3)整改措施的落实情况。
- 整改成效。
“整改成效”是重点实验室的整改措施产生的具体效果,属于定性指标。
考核要点:(1)整改措施的现实成效;(2)整改措施的潜在成效。
(三)评审标准。
指标 |
1档 |
3档 |
5档 |
7档 |
|
整改 |
1.整改措施与存在问题之间的相关性高,针对性强;
2.整改方案内容完整详细,目标切实可行,措施思路和途径清晰可行; 3.整改组织落实到位且针对性强,整改所需的各种保障全部到位。 |
1.整改措施与存在问题之间的相关性比较高,针对性比较强;
2.整改方案内容较为完整详细,目标总体可行,措施思路和途径较为清晰可行; 3.整改组织落实比较到位且针对性较强,整改所需的各种保障总体到位。 |
1.整改措施与存在问题之间具有一定的相关性和针对性;
2.整改方案内容基本完整详细,目标基本可行,措施思路和途径基本清晰可行; 3.整改组织落实基本到位且针对性一般,整改所需的各种保障基本到位。 |
1.整改措施与存在问题之间缺乏相关性和针对性;
2.整改方案内容不完整,目标不可行,措施思路和途径不清晰; 3.整改组织落实不到位且针对性不强,整改所需的各种保障没有到位。 |
|
整改 |
1.现实成效明显;
2.潜在成效可预期性强。 |
1.现实成效较为明显;
2.潜在成效可预期性较强。 |
1.现实成效一般;
2.潜在成效可预期性一般。 |
1.现实成效较差;
2.潜在成效不可预期。 |
四、定量指标的计算方法
(一)计算公式。
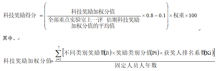
在重点实验室评估指标体系中,“科研任务”“科技成果”“人才培养”“学术交流”4项指标属于定量指标。定量指标的档次,根据核实认定的评估数据计算确定。在计算过程中,选取“全部重点实验室上一评估期定量指标加权分值的平均值”作为定量指标的标杆值。具体计算公式如下:

(二)统计算法。
- 科研任务。
科研任务(10%)=课题数量(4%)+课题经费(6%)
(1)课题数量统计算法

其中,

科研任务分值表
课题类别(Ii) |
分值(Pi) |
| 重大国防类基础研究项目 | 10 |
| 国防科研项目 | 7 |
| 自然基金项目 | 5 |
| 技术攻关项目 | 4 |
| 民口项目 | 3 |
| 其他项目 | 1 |
根据课题类别的不同,科研任务分值划分为六档:
① 重大国防类基础研究项目(以下简称重大项目),是指总经费在2000万元以上,且年均经费在400万元以上的国防类基础研究项目。重大项目不包含型号任务。
② 国防科研项目,是指国防科工局、装备发展部、军委科技委、各军兵种等主管的科技计划资助的课题。符合重大项目条件的课题,不在此类统计。
③ 自然基金项目,是指国家自然科学基金资助的课题。符合重大项目条件的课题,不在此类统计。
④ 技术攻关项目,是指装备型号研制任务中的关键技术攻关项目。横向合同项目认定为此类项目的,合同中应有明确的型号任务背景。
⑤ 民口项目,是指民口国家科技计划、地方政府资助的各类基础研究课题。
⑥ 其他项目,是指上述各类项目之外的其他课题。
(2)课题经费统计算法

其中,

- 科技成果。
科技成果(10%)=科技奖励(4%)+专利(3%)+论文与专著(3%)
(1)科技奖励统计算法

科技奖励分值表
科技奖励类别(Ii) |
分值(Pi) |
| 国家特等奖 | 15 |
| 国家一等奖 | 10 |
| 国家二等奖 | 8 |
| 省部级特等奖 | 9 |
| 省部级(含军队)一等奖 | 7 |
| 省部级(含军队)二等奖 | 4 |
| 省部级(含军队)三等奖 | 1 |
获奖人员排名系数表
奖励等级 |
排名档次 |
系数(Ki) |
|
特等奖 |
第1–5名 | 0.5 |
| 第6–15名 | 0.3 | |
| 第15名以后 | 0.2 | |
|
一等奖 |
第1名 | 0.5 |
| 第2–5名 | 0.3 | |
| 第5名以后 | 0.2 | |
|
二、三等奖 |
第1名 | 0.5 |
| 第2–3名 | 0.3 | |
| 第3名以后 | 0.2 |
科技奖励是指国家级奖励和省部级(含军队)奖励。
国家级奖励统计国家自然科学奖、国家技术发明奖、国家科技进步奖。
省部级奖励统计国防技术发明奖、国防科技进步奖,以及军队、地方省政府设立的科学技术奖项。
获奖人员排名系数按以下规则统计:
① 各奖项获奖人员排名划分为三档,各档次系数相加即获奖人排名系数。
② 第一、二档的档次系数只统计一次,各档次获奖人数超出一人的,依次进入下一个档次统计;第三档的档次系数可以重复统计;各档次统计系数相加不超过1。
③ 获奖人员全部为重点实验室固定人员的,该奖项获奖人排名系数计为1.5;获奖人排名无第一档次的,系数累加不超过0.8,获奖人排名仅有第三档次的,系数累加不超过0.5。
④ 评估期内,一项成果两次获奖的,只统计高一级奖项;一项成果跨评估期两次获奖的,只在一个评估期内统计。
(2)专利统计算法

专利类别分值表
专利类别(Ii) |
分值(Pi) |
| 发明专利授权 | 5 |
| 发明专利申请 | 1 |
发明人排名系数表
排名档次 |
系数(Ki) |
| 第1名 | 0.5 |
| 第2–3名 | 0.3 |
| 第3名以后 | 0.2 |
专利统计发明专利(含国防专利)的申请、授权数量。
发明人排名系数按以下规则统计:
① 发明人排名划分为三档,各档次系数相加即发明人排名系数。
② 第一、二档的档次系数只统计一次,各档次发明人数超出一人的,依次进入下个档次;第三档的档次系数可以重复统计;各档次统计系数相加不超过1。
③ 发明人全部为重点实验室固定人员的,该专利发明人排名系数为1.2;第一发明人非重点实验室固定人员的,各档次系数相加不超过0.9;发明人仅有第三档次的,系数相加不超过0.5。
计算机软件著作权在“专利”类别中进行统计,其分值按2计算。
(3)论文与专著统计算法

论文与专著分值表
论文与专著类别(Ii) |
分值(Pi) |
|
|
论 文 |
SCIENCE、NATURE | 5 |
| SCI | 2 | |
| EI | 1.5 | |
| 中文核心期刊论文 | 1 | |
| 国防科技报告
GF报告、其他论文 |
0.5 | |
|
专 著 |
著 | 8 |
| 编著 | 5 | |
| 译著 | 3 | |
| 编 | 2 | |
论文是指在国内外公开发行的学术刊物上发表的学术论文。
论文只统计重点实验室固定人员(含博士后、研究生)为第一作者(含通讯作者),或重点实验室视为第一作者的论文。同一篇论文以不同语言文字多次发表的,不重复统计。正式出版的国际、国内会议论文集作为统计源;因涉密原因无法公开出版且标明密级的国内会议论文集可以作为统计源。
专著是指正式出版的学术著作、研究生专业教材。重点实验室年报、论文集不作为专著统计。
多人合作完成的专著,若重点实验室固定人员为第一作者(主编、主译)且为统稿人的,或第一作者不是统稿人但完成篇幅超过2/3的,则认定为一部专著。其他情形视专著类别和重点实验室固定人员完成的篇幅,折算成相应等级的论文,但折算后对应的分值不得高于相应类别专著按篇幅折算后对应的分值。
核实认定的论文数量,以100篇为限;核实认定的专著数量,以10部为限;超出的部分,不作为定量计算的依据。
- 人才培养。

人才培养分值表
人才培养类别(Ii) |
分值(Pi) |
| 领军人物 | 10 |
| 学术带头人 | 7 |
| 优秀中青年 | 5 |
| 博士后 | 1 |
| 博士 | 0.8 |
| 硕士 | 0.1 |
人才培养统计评估期内新增领军人物、学术带头人、优秀中青年,以及培养博士后、研究生情况。
领军人物,是指中国科学院院士、中国工程院院士,国家最高科学技术奖获奖人,国家级科技奖励特等奖排名前3、一等奖排名第1的完成人,国家技术发明奖一等奖排名前2、二等奖排名第1的完成人,国防科技工业杰出人才奖获得者,国家部委、军委政治工作部明确认定的领军人物。比照上述条件可以认定为领军人物的其他情形。
学术带头人,是指新世纪百千万人才工程国家级人选,国家级科技奖励特等奖排名第4~10、一等奖排名第2~5、二等奖排名前3的完成人,国家技术发明奖一等奖排名第3~6、二等奖排名第2~5的完成人,省部级(含军队)科技奖励特等奖排名前3、一等奖排名第1的完成人,国防科技创新团队带头人,国家部委、军委职能部门认定的国防科技和武器装备领域专业组组长,“千人计划”、“万人计划”入选者,国家杰出青年基金获得者,长江学者特聘教授,国家部委、地方政府明确认定的学术带头人,军兵种明确认定的领军人物。比照上述条件可以认定为学术带头人的其他情形。
优秀中青年,是指国家级科技奖励特等奖排名前20、一等奖排名前10、二等奖排名前5的完成人,省部级(含军队)科技奖励特等奖排名前5、一等奖排名前3、二等奖排名第1的完成人,国防科技领域青年拔尖人才,国家部委、地方政府、军队等明确认定的优秀中青年。比照上述条件可以认定为优秀中青年的其他情形。认定为优秀中青年的,符合上述条件时的年龄不得超过50周岁。
评估期内固定人员当选院士的,人才培养得满分。
导师非重点实验室固定人员,但学位论文在重点实验室完成且学位论文内容符合重点实验室研究方向的研究生,可统计为重点实验室培养的研究生。联合培养的研究生按分值权重的120%计算。
4.学术交流。

学术交流分值表
学术交流类别(Ii) |
分值(Pi) |
|
|
主办学术会议 |
国际会议 | 10 |
| 国内会议 | 9 | |
|
承办学术会议 |
独立承办国际会议 | 8 |
| 独立承办国内会议 | 6 | |
| 为首联合承办国际会议 | 5 | |
| 联合承办国际会议 | 3 | |
| 为首联合承办国内会议 | 4 | |
| 联合承办国内会议 | 2 | |
|
参加学术会议 |
国际会议 | 1 |
| 国内会议 | 0.5 | |
|
讲学交流 |
国外专家来室讲学 | 2 |
| 国内专家来室讲学 | 1 | |
| 固定人员出国讲学交流 | 2 | |
| 固定人员国内讲学交流 | 1 | |
|
流动人员 |
高级职称 | 1 |
| 中级职称及其他 | 0.5 | |
主办/承办(含联合主办/承办)学术会议,是指由主管部门(单位)或全国性二级及以上学会批准的学术会议。
参加学术会议,是指固定人员、在站博士后、在读研究生,代表重点实验室参加的国际和国内学术会议。担任会议重要职务、作邀请报告或主题发言、有论文收录或展示的,方可统计人次。
专家学者来室讲学交流是指知名学者做专题的、发表具有个人独特见解的学术报告人次。
固定人员讲学交流是指重点实验室固定人员到国内外相关学术机构讲学人次。
五、联合运行情况的考核
对于依托两个及以上单位设立的联合重点实验室,为促进其资源整合、技术融合、机制协同、优势互补,增加联合运行情况作为评估的附加内容进行考核。
(一)考核项。
附加考核内容共计8项,具体包括:
(1)制定联合运行的管理制度,成立协调管理机构;
(2)每年召开2次(含)以上联合运行工作协调会;
(3)联合承担国家级科研项目;
(4)联合获得科技成果奖励;
(5)联合申请发明专利(含国防专利)或获得授权;
(6)联合发表SCI或EI收录论文;
(7)联合培养研究生;
(8)联合举办/承办学术会议。
(二)考核标准。
附加考核项的判定结果,具体按以下四种情形予以处理:
其一,(1)~(8)项均不符合的,“组织管理”、“制度建设”指标档次直接认定为“7档”;
其二,(1)~(2)项均不符合的,“组织管理”、“制度建设”指标档次评定不得超过“5档”;
其三,(1)~(2)项中有一项不符合的,“组织管理”、“制度建设”指标档次评定不得超过“3档”;
其四,符合(1)~(2)项但(3)~(8)项中符合项少于三项的,“组织管理”、“制度建设”指标档次不得评定为“1档”。
六、评估结果的计算方法
(一)评定原则。
重点实验室评估结果,根据定性、定量指标的评定档次,综合计算确定。定性指标档次的评定,由评估专家在审阅《评估申请书》、听取工作报告和学术报告、实地考察、质询与答辩、专家评议基础上,记名投票确定。定量指标档次的评定,由评估机构根据核实认定的数据,量化计算确定。
(二)档次评定。
- 定性指标档次评定。
评估专家根据定性指标评定标准,对定期评估、试运行评估、复评估的各项相关二级指标的档次进行投票确定。专家投票时,对每项指标的7个档次进行判定选择,且只能在选定的一个档次中打“√”。若同一指标的档次选择超过一个或空缺,则该指标的档次选择视为无效。定性指标专家投票表的格式如下所示。
定期评估定性指标专家投票表
一级指标 |
二级指标 |
1 |
2 |
3 |
4 |
5 |
6 |
7 |
|
可持续发 |
发展规划 | |||||||
| 研究队伍 | ||||||||
| 科研条件 | ||||||||
| 依托单位支持 | ||||||||
|
创新水平 |
创新水平 | |||||||
| 对装备研制的贡献 | ||||||||
| 对领域发展的贡献 | ||||||||
| 运行与管 理机制 |
组织管理 | |||||||
| 制度建设 | ||||||||
| 开放共享 |
试运行评估定性指标专家投票表
一级指标 |
二级指标 |
1 |
2 |
3 |
4 |
5 |
6 |
7 |
|
可持续发 |
发展规划 | |||||||
| 研究队伍 | ||||||||
| 科研条件 | ||||||||
| 依托单位支持 | ||||||||
|
创新水平 |
创新水平 | |||||||
| 对装备研制的贡献 | ||||||||
| 对领域发展的贡献 | ||||||||
| 运行与管 理机制 |
组织管理 | |||||||
| 制度建设 | ||||||||
| 开放共享 | ||||||||
| 试运行情 况 |
设立评审问题整改情况 | |||||||
| 设立评审核实数据变化情况 |
复评估定性指标专家投票表
一级指标 |
二级指标 |
1 |
2 |
3 |
4 |
5 |
6 |
7 |
|
可持续发 |
发展规划 | |||||||
| 研究队伍 | ||||||||
| 科研条件 | ||||||||
| 依托单位支持 | ||||||||
| 创新水平 与贡献 |
创新水平 | |||||||
| 对装备研制的贡献 | ||||||||
| 对领域发展的贡献 | ||||||||
| 运行与管 理机制 |
组织管理 | |||||||
| 制度建设 | ||||||||
| 开放共享 | ||||||||
| 整改情况 | 整改措施 | |||||||
| 整改成效 |
- 定量指标档次评定。
评估机构根据核实认定的数据,按照定量指标统计算法,计算相关指标得分,并将计算结果对应到下表所示的各指标相应档次上。
定量指标计算投票表
一级指标 |
二级指标 |
1 |
2 |
3 |
4 |
5 |
6 |
7 |
||
| 可持续发 展能力 |
科研任务 | X≥9 | 8≤X<9 | 7≤X<8 | 6≤X<7 | 5≤X<6 | 4≤X<5 | X<4 | ||
| 创新水平 与贡献 |
科技成果 | X≥9 | 8≤X<9 | 7≤X<8 | 6≤X<7 | 5≤X<6 | 4≤X<5 | X<4 | ||
| 人才培养 | X≥9 | 8≤X<9 | 7≤X<8 | 6≤X<7 | 5≤X<6 | 4≤X<5 | X<4 | |||
| 运行与管 理机制 |
学术交流 | X≥3.6 | 3.2≤X<3.6 | 2.8≤X<3.2 | 2.4≤X<2.8 | 2≤X<2.4 | 1.6≤X<2 | X<1.6 | ||
|
定量指标计算得分 |
||||||||||
二级指标 |
科研任务 |
科技成果 |
人才培养 |
学术交流 |
||||||
| 得 分 | ||||||||||
注:X为相关定量指标计算得分。
(三)统计计算。
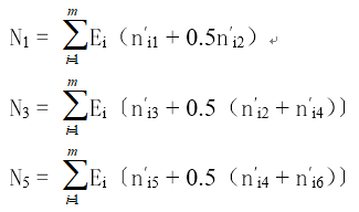
专家投票结果和量化计算投票结果的统计计算,由计算机完成。计算机对汇总录入的投票结果进行统计,计算出重点实验室的综合得票数和评估结果。具体计算思路如下:
(1)评估专家和评估机构对重点实验室的投票情况可表示为矩阵Nij,矩阵元素nij(i为二级指标数,j为档次数)为0或1,当相应的档次被选择或与定量计算值相对应时,nij为1,反之nij则为0。
(2)如有N个专家对重点实验室进行投票,则将N个矩阵相加得出对重点实验室的总投票情况,表示为矩阵N′ij,矩阵元素为n′ij。
(3)档次1、3、5的综合得票数N1、N3、N5,由相应档次所有二级指标实际得票数与指标权重相乘累加后得出,计算公式如下:

其中,Ei为各二级指标对应的权重,m为二级指标的数量。
(4)根据计算得出的各档次综合得票数N1、N3、N5,确定重点实验室的评估结果:

(四)排序规则。
根据投票计算结果,对重点实验室的评估结果进行如下排序:
(1)按照优秀、合格、基本合格、不合格进行排序。
(2)同为优秀的,N1大者排在前;若N1相同,则N3大者排在前;若N3也相同,则N5大者排在前。
(3)同为合格的,N1 + N3大者排在前;若N1 + N3相同,则N1大者排在前;若N1也相同,则N5大者排在前。
其他情形依此类推。
附 件
原文下载:国防科技重点实验室评估指标体系
注:回复可解锁下载权限




计算方法很科学
评论,必须评论
谢谢分享,请问如何下载国防科技重点实验室评估指标体系原文?
感谢分享
学习
12258888
?
参考学习。